반응형
두 확률 변수 X,Y가 독립 관계이면 상관은 0이다.
두 확률변수 X,Y가 상관이 0이면 반드시 독립은 아니다.
상관 관계가 0이다. -> 두 변수의 관계가 선형적인 관계가 아니다. 다만 의존성은 있을 수 있다.
독립 관계이다. -> 두 변수의 분포가 서로 의존성이 없다.
공분산 : 두 변수가 서로 함게 증가 또는 감소하는 정도를 보여줌, 상관 정도와 방향에 대한 정보를 담고 있음.
분산 : 하나의 변수 내에서 값들이 평균과 얼마나 퍼져 있는가?, 공분산에 속하는 개념.
일반적인 분포의 경우 두 확률 변수의 상관관계가 0이어도, 반드시 독립은 아니다.
가우시안 분포는 다르다.
가우시안 분포를 가지는 두 확률 변수의 상관관계가 0이면, 반드시 독립이다.
가우시안 분포는 평균값과 공분산값으로 완전히 정의 될 수 있는 분포이다.
가우시안 분포를 가지는 두 확률 변수의 확률 밀도 함수는 다음과 같다.



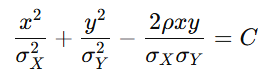
확률 밀도함수의 지수 부분을 상수로 고정하면,
위 식은 같은 확률밀도 값을 갖는 점들의 모양을 표현하는 것임 → 이것이 등확률션
상관계수가 0이면 등확률선의 모양이 타원형 또는 원이다.
상관계수가 0이 아니면, 등확률션의 모양이 틀어진 타원형이 된다.
특히 상관계수가 0이면


확률 밀도 함수가 분리되며, 이것이 두 확률 변수의 관계가 독립임을 의미한다.
'수학' 카테고리의 다른 글
| Hamming window가 언제 쓰이는가? (0) | 2025.11.26 |
|---|---|
| Gauss-Markov Processes ? (0) | 2023.11.29 |
| Power spectral density과 auto correlation (1) | 2023.11.19 |
| 랜덤 process와 관련 된 용어 (0) | 2023.11.14 |
| 모멘트 (1) | 2023.11.14 |