랜덤프로세스의 종류 중에 Gauss-Markov가 있다. 이게 무슨 말일까?
Gauss와 Markov는 별개의 의미를 가진다.
우선 Markov process가 무엇인지 보자
https://rfriend.tistory.com/184
[선형대수] 마아코프 과정 (Markov Process), 대각화(diagonalization) 적용하여 계산하기
지난 포스팅에서는 대각행렬(diagonal matrix), 행렬의 대각화(diagonalization), 그리고 고유값(eigenvalue)과 고유벡터(eigenvector)를 이용 (eigenvalue-eigenvector decompositon)하여 n차 정방행렬의 p제곱을 구하는 방
rfriend.tistory.com
참고로 이글은 고유값과 고유벡터를 구하면 어떤 부분에 있어서 유용한지에 대해서도 언급하고 있다.

랜덤 프로세스의 현재 상태가 과거 상태에서 영향을 받았다면, 이러한 랜덤프로세스를 markov 랜덤 프로세스라고 한다.
이것을 수학식으로 표현하면 다음과 같다.
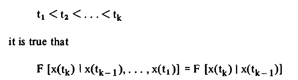
A continuous process x(t) is first-order morkov if for every k and

- 출처 : gelb, applied optimal estimation
markov 프로세스에도 차수가 있다. 1차, 2차, 3차... n차 markov 프로세스가 있을 수 있다.
1차 markov 프로세스는 현재 상태에서 바로 직전 과거 상태의 영향을 받는 프로세스를 의미한다.
2차 markov 프로세스는 현재 상태에서 바로 직전 2개의 과거 상태의 영향을 받는 프로세스를 의미한다.
몇개의 과거상태에서 영향을 받는가에 따라 markov 프로세스의 차수가 정해진다.
1차 markov 프로세스의 경우 다음과 같은 미분방정식의 관계를 가진다.



이런 미분방정식의 관계에서 X(t), w의 확률 분포가 Gaussian 특성을 가진다면
x(t)는 Gaussian markov 프로세스라고 한다.
Gauss markov 프로세스의 통계적인 특성은 autocorrelation 함수로 표현할 수 있다.
'수학' 카테고리의 다른 글
| 상관과 독립 그리고 가우시안 분포 (0) | 2026.01.04 |
|---|---|
| Hamming window가 언제 쓰이는가? (0) | 2025.11.26 |
| Power spectral density과 auto correlation (1) | 2023.11.19 |
| 랜덤 process와 관련 된 용어 (0) | 2023.11.14 |
| 모멘트 (1) | 2023.11.14 |