반응형
랜덤변수의 확률분포,
랜덤 프로세스의 확률분포,
용어는 비슷비슷한데
수학식으로 표현하면 다르다.
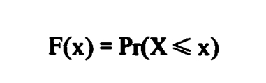
랜덤변수 x 확률분포

랜덤변수 x,y 의 확률분포

랜덤프로세스 x 의 확률분포
>>시각 t1일때 랜덤 프로세스 x에 대한 확률 분포

>>시각 t1, t2일 때 랜덤 프로세스 x에 대한 확률분포를 second order joint probability로 표현할 수 있다.

랜덤프로세스 x,y의 확률분포
>> 시각 t1일때 랜덤프로세스 x와 시각 t2일때 랜덤프로세스 y에 대한 확률분포를 second order probability로 표현한다.

랜덤프로세스가 랜덤변수와 다른부분은 시각 t를 고려하고 있는가이다.
'수학' 카테고리의 다른 글
| 랜덤 process와 관련 된 용어 (0) | 2023.11.14 |
|---|---|
| 모멘트 (1) | 2023.11.14 |
| 중심극한 정리 (0) | 2023.11.06 |
| 확률 분포의 형태 (0) | 2023.11.06 |
| 두 사건의 independent, exclusive에 대한 이해 (0) | 2023.11.02 |