반응형
power spectral density는 auto correlation 함수를 fourier transfrom 한것과 같다. 이것을 설명한 영상이다.
https://www.youtube.com/watch?v=DoSLMEEo1Y0
영상 속 내용을 정리하면
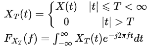
X(t)라는 신호 또는 랜덤 프로세스가 있고, 이것을 퓨리에 트랜스폼 한 것이 Fx(f)이다.




의 단위는 Joules/Hz이다.
다음 식은 Power spectral density 함수이며, 단위는 Watt/Hz가 된다.

랜덤 프로세스 X(t)의 power spectral density와 auto correlation 함수의 관계는 다음과 같다.


power spectral density는 auto correlation 함수의 관계가 위와 같다는 것이 왜 의미가 있는가? 왜 굳이 저렇게 둘 만의 관계를 수학식으로 표현한 것일까?
신호를 Fourier transform하여 신호의 주파수 성분을 보면 되는것인데, 왜 power spectral density 라는 개념이 필요한가?
https://www.youtube.com/watch?v=XWytSLZZP1A
영상의 댓글을 보면서 주의깊게 본 댓글을 정리하였다.




'수학' 카테고리의 다른 글
| Hamming window가 언제 쓰이는가? (0) | 2025.11.26 |
|---|---|
| Gauss-Markov Processes ? (0) | 2023.11.29 |
| 랜덤 process와 관련 된 용어 (0) | 2023.11.14 |
| 모멘트 (1) | 2023.11.14 |
| 랜덤변수, 랜덤프로세스 확률분포의 수학적 표현 (0) | 2023.11.12 |