Nyquist criterion (MT-002)
본 내용은 아날로그 디바이스의 MT-002 “What the Nyquist Criterion Means to Your Sampled Data System Design” 문서를 정리한 것이다.
1. 개요
1924년에 발표된 해리 Nyquist의 고전적인 Bell System Technical Journal의 논문을 대충 읽어서, Nyquist 이론의 진정한 의미를 알기 어렵다. 본 글에서는 Nyquist 이론이 base band sampling, under sampling, over sampling에 어떻게 적용되는지 설명한다.
일반적인 실시간 sampled data system block은 다음과 같다.

위 그림은 ADC가
![]()
마다 연속적으로 샘플을 만들고, DSP는 매 샘플마다 처리하는 구조이다. DSP는 반드시 이 시간(1/fs) 안에 입력 샘플 처리, 출력 샘플 생성, DAC로 전달해야 함. 이 조건을 못 지키면 버퍼 오버플로우, 데이터 손실, 지연 누적 발생한다.
Sampled data 시스템에서 샘플링하는 과정 말고 필요한 것이 aliasing을 방지하는 필터이다.
Analog 신호가 Digital 신호로 변환되기 전에 Analog 신호를 conditioning 회로가 필요하다. 신호 컨디셔닝 회로는 증폭, 감쇠, 필터링과 같은 기능을 수행한다. 특히 저역통과/대역통과 필터는 관심 대역 밖의 원치 않는 신호(잡음, 인접채널, 간섭신호)를 제거하고, 에일리어싱(aliasing)을 방지한다.
※ Aliasing – 입력 신호 중 샘플링 주파수 fs보다 높은 주파수 성분이, 샘플링 후에 fs를 중심으로 접혀서 가짜 저주파 성분으로 내려오는 현상, 이를 막기 위해 ADC 앞 단에 아날로그 Anti aliasing filter 필요
DAC 뒤에도 필터가 필요하다. DAC 출력에는 원하는 신호 + 이미지 주파수(image frequencies) 존재하므로 Analog anti-imaging filter 가 DAC 뒤에 붙는다.
실제 analog-to-digital and digital-to-analog conversion process에서 2가지 개념 이해가 필요하다. discrete time sampling 와 finite amplitude resolution due to quantization이다. 본 글에서는 discrete time sampling에 대해 다룬다.
2. THE NEED FOR A SAMPLE-AND-HOLD AMPLIFIER (SHA) FUNCTION
최근 대부분 ADC는 Sample-and-Hold(S/H, SHA)기능을 가지고 있어서, AC 신호를 샘플링 할 수 있다. SHA의 역할은 샘플 순간에 입력 전압을 순간적으로 샘플, 변환이 끝날 때까지 고정(hold)한다. 그래서 변환 중에 입력이 변해도 문제없다. 이 형태의 ADC를 sampling ADC라고 한다.
하지만 초창기 ADC에는 SHA 기능이 포함되어 있지 않았다. 단순히 encoder만 있는 형태였다. 변환 시간 동안 입력이 정지해 있어야 함.
다음과 같이 SHA 기능이 포함되어 있지 않은 SAR(Successive Approximation Register) ADC가 있다. SAR 변환시간이 8us이다. 만약 입력이 변환시간 내에 1 LSB 이상 변동이 있다면, SAR이 서로 다른 시점의 전압을 섞어서 샘플링을 수행하므로 샘플링한 데이터에 에러가 발생한다. ADC에 Sample and Hold 기능이 없다면, 샘플링 속도가 빠르다고 해서 AC 신호를 정확하게 변환할 수 있는 것은 아니다.

예를 들어 12비트 SAR ADC가 100 kSPS로 동작해도, 샘플-앤-홀드가 없으면 10 Hz 이상의 AC 신호는 정확히 변환할 수 없다.
입력 신호: Full scale sine 파형

ADC 해상도:
![]()
1 LSB 크기:
![]()
변환 시간:
![]()
ADC의 샘플 변환 결과에 오류가 없기 위해서, ADC의 샘플 변환 시간 동안 입력 신호 전압 변화가 1 LSB이어야 한다.
입력신호의 변화가 가장 심한 지점은:
사인파의 미분:
![]()
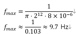
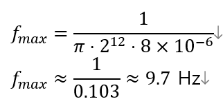
최대 기울기:
![]()
변환 시간 dt 동안 입력 신호의 최대 전압 변화가 1LSB 보다 작아야 한다.



이 조건을 만족하는 입력 신호의 주파수는 다음과 같다.

예제 상황을 대입하면, 입력신호의 주파수가 9.7Hz보다 경우에 대해서 오류 없이 샘플링을 수행할 수 있다. 9.7Hz보다 높은 주파수의 입력신호를 샘플링하면 샘플 결과에 오류가 생긴다.

ADC가 AC 신호를 오류 없이 샘플링 하려면 Sample-and-Hold(SHA, 실제로는 Track-and-Hold)가 필요하다. 이상적인 SHA 구조는 스위치 + 홀드 캐패시터 + 고입력 임피던스 버퍼이다. 스위치는 샘플 순간에 입력을 캐패시터에 연결, Hold capacitor는 샘플 된 전압을 저장, 버퍼 (고입력 임피던스) 캐패시터 전압을 로드 없이 유지한다. 고입력 임피던스는 홀드 시간 동안, 커패시터가 방전되는 것을 막는다.
SHA(실제로는 Track/Hold)는 ADC가 AC 신호를 처리할 수 있게 해주는 핵심 블록이며, AC 신호 샘플링 성능 한계는 SAR이 아니라 SHA 성능으로 결정된다. 구체적으로 SHA의 aperture jitter, bandwidth, distortion이다.
샘플 획득(acquire): 2 μs, 변환 시간: 8 μs, 전체 주기: 10 μs ,

처리 가능 입력 주파수는 최대 약 50 kHz이다.

3. THE NYQUIST CRITERION
Nyquist 정리는 샘플링 주파수가 입력 신호에 포함된 최고 주파수의 최소 두 배 이상이어야 하며, 그렇지 않으면 샘플링 된 신호는 본래 입력 신호에 대한 정보를 손실한다는 것을 말한다. 만약 샘플링 주파수가 아날로그 신호(입력신호)의 최대 주파수의 두 배보다 작으면, aliasing이 발생한다.

위 그림은 샘플링 주파수(fs)가 입력신호 주파수(fa)의 두배보다 작은 경우를 시간영역에서 표시한 것이다. 이것은 Nyquist 이론을 위배하였다. 샘플링 된 값으로 이어진 빨간 선은 aliased 된 사인파로, 주파수는 fs -fa이다. 이 상황을 주파수 상에서 표현한 것이 다음 그림의 B이다.

만약 fs가 입력신호 주파수(fa)의 2배 이상이라면, 입력신호의 alias 또는 image 주파수가 샘플링 주파수(@ frequencies equal to |± Kfs ± fa|, K = 1, 2, 3, 4, .....)에 A처럼 생긴다.
위 그림 B에서는 입력 신호가 first Nyquist zone 밖에 있는 경우이지만, 샘플링 과정을 통해 image 또는 alias 성분을 생성하여, first Nyquist zone(fs-fa 위치)안에 생성되는 것을 보여준다.
Nyquist bandwidth는 dc ~
![]()
이다.
샘플링한 데이터를 스펙트럼으로 표시하면 dc ~
![]()
뿐만 아니라, 1st zone:
![]()
, 2nd zone:
![]()
, 3rd zone:
![]()
, 4th zone:
![]()
무한대의 Nyquist zone(크기는 fs/2)이 생성된다.
FFT는 첫 번째 Nyquist zone만 보며, first Nyquist zone 밖에 신호가 있다면, 이로 인해 alias가 first Nyquist zone 안에 생성되어, spur를 생성할 수 있다. 샘플링시 First Nyquist zone 밖에 있는 신호가 aliasing 되어 접혀 들어올 수 있기 때문에 ADC 앞 에 아날로그 필터를 붙여서, 원치 않는 고주파를 미리 제거해야 한다.
4. BASEBAND ANTIALIASING FILTERS
baseband sampling 이 무엇인지, 왜 Antialiasing 필터가 필수인지, 그리고 필터 차단 특성이 시스템 성능(동적 범위)에 어떤 영향을 주는지를 정리한다.
Baseband sampling은 샘플링하려는 신호가 1st Nyquist zone(dc ~ fs/2)에 있는 경우이다.
ADC 전단에 필터가 없으면, 1st Nyquist zone 밖에 있는 Nyquist zone의 신호 성분이 1st zone에 alias를 생성한다. 이상적인 샘플러(= 무한 대역폭)는 모든 주파수를 그대로 샘플링 하여
![]()
를 초과하는 신호와 잡음을 1st Nyquist zone으로 모은다. 따라서 샘플링 전에 미리 잘라내야 한다. ADC 앞단 아날로그 필터
원하는 대역만 통과 (dc ~
![]()
) 그 위는 충분히 감쇠 Aliasing은 디지털에서 복구 불가 → 반드시 아날로그에서 해결
· 왜 “finite transition”이 문제인가? 이상적인 필터는 없다. 실제 필터는 통과 → 차단이 완만하게 변화. 이 전이 구간(transition band) 때문에
![]()
근처 잡음이나 간섭이 완전히 제거되지 않음 → alias로 접힘 이게 시스템 동적 범위(SNR, SFDR)를 제한

실제 아날로그 입력에 관심 대역(0~fa) 밖에도 큰 신호(f_in)가 있을 수 있다. f_in이 fs/2보다 크며, 이 신호의 크기가 ADC의 full-scale 크기를 가진 신호라면, f_in에 있는 신호가 aliasing을 first Nyquist zone에 나타난다. 이로 인해 시스템의 dynamic range가 감소할 수 있다.
설계할 필터의 통과 대역은 0~fa, 필터의 transition band는 fa에서 fs-fa까지이다. 필터 설계 시 어려운 부분이 필터의 transition band의 신호 감쇄 특성을 날카롭게 만드는 것이다. 신호 감쇄 특성이 날카로울수록, 시스템의 dynamic range는 커진다.
필터의 transition band이 좁을수록 신호 감쇄 특성을 날카롭게 만드려면, 필터의 차수가 높아져야 하고, 이로 인해 필터 설계가 어렵다.
다만 ADC의 샘플링 rate를 높이면, 똑같은 시스템 dynamic range를 만족하기 위해, 필터의 transition band가 넓혀도 된다. 따라서 필터의 차수를 낮출 수 있기 때문에, 필터 설계가 용이하다. Antialiasing transition band와 ADC sampling rate는 trade off 관계이다.
5. UNDERSAMPLING (HARMONIC SAMPLING, BANDPASS SAMPLING, IF SAMPLING, DIRECT IF-TO-DIGITAL CONVERSION)
앞에서 언급한 Baseband sampling 은 1st Nyquist zone에 있는 신호를 샘플링 한다. 그 결과 같은 스펙트럼이 모든 Nyquist zone에 복사된다.
Under sampling은 1st Nyquist zone이 아닌 Nyquist zone에 있는 신호를 샘플링 한다. 2nd Nyquist zone에 있는 신호를 샘플링하면, 다음 그림의 B와 같다. 그 신호의 image(alias)가 1st Nyquist zone (0 ~ fs/2) 로 접혀 들어옴. 이 경우 스펙트럼 뒤집혀서 (frequency inversion) 들어온다. 따라서 이경우에는 I/Q 부호처리, FFT bin 재정렬이 필요하다.
짝수 Nyquist zone에 있는 신호를 샘플링하면 스펙트럼 뒤집힘, 홀수 Nyquist zone에 있는 신호를 샘플링하면 스펙트럼 모양 그대로 유지함.

위 그림의 C는 3rd Nyquist zone에 있는 신호를 샘플링 한 것으로 그 신호의 이미지가 1st Nyquist zone에 떨어진다. 스펙트럼 모양이 그대로 유지된다.
이와 같이 Undersampling을 하기 전에 입력 신호는 하나의 Nyquist zone에만 존재해야 하며, 다른 zone의 신호/잡음은 아날로그 bandpass filter로 제거 한 상태이어야 한다.
Undersampling은 1st Nyquist zone 밖의 밴드패스 신호를 의도적으로 alias시켜, RF mixer 없이 baseband로 가져오는 기법이며, 적절한 필터만 있으면 정보 손실은 없다
Nyquist 이론을 보통 다음과 같이 샘플링 주파수는 입력신호의 최대 주파수의 2배보다 커야 한다고 알고 있다.

하지만 Under sampling까지의 과정을 보면, Nyquist 이론을 다음과 같이 해석해도 된다. 입력신호의 중심주파수와 무관하게 샘플링 주파수는 입력 신호 대역폭(B)의 최소 2배 이상이면 된다.

하지만 Under sampling이 실제 사용되기 위해서는 ADC의 하드웨어 성능이 따라주어야 한다. Under sampling에서는 ADC가 샘플링 하려는 입력 주파수가 높다. 따라서 ADC가 2nd, 3rd, 4th Nyquist zone에서도 dynamic performance(SNR SFDR THD IMD ENOB)가 감소하지 않는지 확인해야 한다. 그래서 ADC의 데이터 시트에서 확인할 사항으로 SNR vs input frequency, SFDR vs input frequency, Full-power bandwidth, Input bandwidth (−3 dB) 가 있다.
Under sampling을 실제로 구현하기 위해서는 2nd, 3rd, 4th Nyquist zone 주파수에서도 동적 성능을 유지할 수 있는 ADC가 필요하다.
6. ANTIALIASING FILTERS IN UNDERSAMPLING APPLICATIONS
2nd Nyquist zone에서 under sampling(bandpass sampling) 시 Baseband sampling과 다르게 해당 Nyquist zone의 신호만 통과시켜야 하므로 under sampling 상황에서 antialiasing filter는 band pass 구조를 가진다.
다음 그림은 2nd Nyquist zone에 있는 신호를 under sampling할 때, filter에 요구되는 특성을 표현한 것이다. 필터의 upper transition band는 f2에서 2fs – f2까지, lower는 f1에서 fs – f1까지 이다. 필터의 Transition band의 감쇄 특성에 따라 시스템의 Dynamic range가 결정된다. Baseband sampling과 마찬가지로 필터의 감쇄 성능 구현을 용이하기 위해, ADC의 샘플링 주파수를 높일 수 있다. 이 경우 antialiasing filter의 pass band 중심주파수도 변경이 필요하다.

신호의 중심주파수가 fc, 대역폭이 B이고 under sampling로 샘플링을 한다면, 샘플링 주파수는 2가지를 고려하여 선정할 수 있다. 첫번째는 샘플링 주파수가 신호 대역폭의 2배보다 커야 한다.

두번째는 샘플링 주파수가 Nyquist zone의 중심에 위치해야 한다.


예를 들어 대역폭이 4MHz이고 중심주파수가 71MHz인 입력신호를 under sampling한다면, 샘플링 주파수와 Nyquist zone은 어떻게 정해질까?
대역폭의 2배인 8MHz를 샘플링주파수로 선정한다면, Nyquist zone은 18.25번째로 계산된다. 하지만 Nyquist zone은 정수여야 한다. 따라서 18번째 Nyquist zone을 샘플링한다면, 샘플링 주파수는 8.1143MSPS로 정해진다.
본 문서에서는 다음 내용을 다루었다.
1. Nyquist criterion의 개념과 aliasing이 시간 영역, 주파수 영역에 미치는 영향
2. Nyquist 개념에 맞추어 Anti-aliasing filter 설계 시 고려 부분
3. Oversampling과 Under sampling
'ADC' 카테고리의 다른 글
| DNL(Differential Non Linearity),INL(Integration Non Linearity) of ADC (0) | 2025.12.22 |
|---|---|
| Understand SINAD, ENOB, SNR, THD, THD + N, and SFDR (MT-003) (0) | 2025.12.20 |
| ADC SNR, 양자화 잡음(MT-001) (0) | 2025.12.15 |
| ADC 열잡음, 커패시터, 전력, ENOB (0) | 2025.12.10 |
| ADC의 Noise Figure, 임피던스 매칭하는 이유 (0) | 2025.12.04 |